技术文章

Technical articles

当前位置:首页技术文章上海腾拔质构仪相关论文:野生刺梨甜橙果冻的制备工艺优化

上海腾拔质构仪相关论文:野生刺梨甜橙果冻的制备工艺优化

更新时间:2023-08-29点击次数:1440

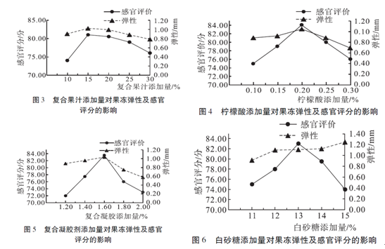
近日,成都师范学院研究人员在国内期刊《四川旅游学院学报》发表了题为“野生刺梨甜橙果冻的制备工艺优化"的研究论文。在该论文中研究人员使用上海腾拔Rapid TA研究型质构仪测定了果冻的弹性等指标

1、野生刺梨甜橙果冻弹性的测定

Rapid TA型质构仪采用全质构TPA模式测试,对果冻进行弹性的测定,探头型号P/0.5,测试速度为1.00mm/s,触发点负载10.00g,压缩形变量为50.00%,每个样品测试3次,取平均值。


2、测定结果

5.png


原文全文下载链接

野生刺梨甜橙果冻的制备工艺优化

服务热线

021-54397372

15618141270

15300622190

添加微信

返回顶部